Tema 2: Raíces cuadradas (Propiedades)
- Los Castaños El Salvador Alternative Education

- 29 abr 2021
- 2 Min. de lectura
Módulo de Aprendizaje #3
Área: Matemáticas
Grupo pedagógico: Middle School.
Semana: Del 3 al 7 de Mayo 2021
Nombre del Guía pedagógico: Miss Melissa Artiga
Correo: missmelissa.castanos@gmail.com
1) Objetivo del tema:
Conocer las propiedades de raíces cuadradas.
Encontrar raíces cuadradas principales y sus opuestos.
Aproximar raíces cuadradas y encontrar raíces exactas.
2) Desarrollo
RAÍCES CUADRADAS
Escribir las raíces como potencias nos permite aplicar las propiedades de las potencias (las recordamos en el siguiente apartado). Esto es muy útil para calcular productos y cocientes de raíces e, incluso, potencias y raíces de raíces.
A continuación, recordamos los conceptos y propiedades que necesitamos.
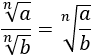
Raíz de orden n:
Sea n un natural positivo (es decir, 1, 2, 3,...), entonces

Importante:
Si el orden de la raíz, nn, es par, su radicando tiene que ser mayor o igual que 0. Además, si el radicando es mayor que 0, hay dos raíces: una positiva y una negativa.
Por ejemplo, las raíces cuadradas de 4 son 2 y -2:

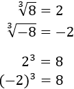
Si el orden de la raíz, nn, es impar, su radicando puede ser negativo. Además, en este caso (n impar), sólo hay una raíz.
Por ejemplo, la raíz cúbica de 8 es 2 y la de -8 es -2:

PROPIEDADES DE LAS RAICES
Si escribimos las raíces como potencias, obtenemos las siguientes propiedades:
Producto de raíces:

El producto de raíces (del mismo orden) es la raíz del producto de sus radicandos.
Cociente de raíces:

El cociente de raíces (del mismo orden) es la raíz del cociente de sus radicandos.
Potencia de una raíz:

Podemos introducir el exponente de una raíz como el exponente del radicando.
Raíz de una raíz:

La raíz de orden m de la raíz de orden n es la raíz de orden m⋅n
EJEMPLO
Calcular los siguientes productos de raíces cúbicas y quintas:

Aplicamos la propiedad del producto de raíces.
Primer producto:

Observad que la raíz se cancela porque el radicando es una potencia con exponente 3 y el orden de la raíz es 3.
Segundo producto:

La raíz se cancela por la misma razón que en el producto anterior.


Comentarios